RESUMO
OBJETIVOS: analisar as trajetórias de velocidade de crescimento segundo a prática de aleitamento materno exclusivo em recém-nascidos prematuros e de baixo peso acompanhados pelo Método Canguru.
MÉTODOS: estudo longitudinal com 152 recém-nascidos acompanhados em duas maternidades públicas de Fortaleza/Ceará, entre outubro de 2016 e outubro de 2017. A variável de exposição foi o aleitamento materno exclusivo na alta do Método Canguru. Velocidades de ganho de peso (g/kg/dia), comprimento (cm/dia) e perímetro cefálico (cm/dia) foram estimadas a partir de medidas antropométricas repetidas, utilizando modelos lineares mistos com splines cúbicas restritas, ajustados para características neonatais e maternas.
RESULTADOS: do total, 51,3% eram do sexo feminino, com peso médio ao nascer de 1.743 g (±43,8) e idade gestacional de 32,7 semanas (±2,1). Às 37 semanas, os lactentes em aleitamento materno exclusivo apresentaram maior velocidade de ganho de peso (11,8 g/kg/dia; IC95%= 10,7–12,9) em comparação aos não exclusivamente amamentados (8,4 g/kg/dia; IC95%=6,4–10,5; p<0,05). Não foram identificadas diferenças estatisticamente significativas nas trajetórias de comprimento e perímetro cefálico entre os grupos de aleitamento.
CONCLUSÃO: o aleitamento materno exclusivo até a alta do Método Canguru foi associado a maior velocidade de ganho de peso às 37 semanas de vida, reforçando a relevância da amamentação na promoção do crescimento saudável de recém-nascidos prematuros e de baixo peso.
Palavras-chave:
Aleitamento materno exclusivo, Crescimento, Recém-nascido prematuro, Recém-nascido de baixo-peso, Método canguru
ABSTRACT
OBJECTIVES: to analyze growth velocity trajectories according to exclusive breastfeeding practices among preterm and low-birth-weight infants followed within the Kangaroo Mother Care.
METHODS: a longitudinal study was conducted with 152 newborns cared for in two public maternity hospitals in Fortaleza, Ceará, Brazil, between October 2016 and October 2017. The exposure variable was exclusive breastfeeding at Kangaroo Mother Care discharge. Weight gain (g/kg/day), length (cm/day), and head circumference (cm/day) velocities were estimated from repeated anthropometric measurements using linear mixed-effects models with restricted cubic splines, adjusted for neonatal and maternal characteristics.
RESULTS: overall, 51.3% of the infants were female, with a mean birth weight of 1,743 g (±43.8) and a mean gestational age of 32.7 weeks (±2.1). At 37 weeks of age, exclusively breastfed infants showed higher weight gain velocity (11.8 g/kg/day; 95%CI= 10.7-12.9) compared with those not exclusively breastfed (8.4 g/kg/day; 95%CI= 6.4-10.5; p<0.05). No statistically significant differences were observed in length or head circumference trajectories between feeding groups.
CONCLUSIONS: exclusive breastfeeding at Kangaroo Mother Care discharge was associated with higher weight gain velocity at 37 weeks of life, underscoring the importance of breastfeeding in promoting healthy growth among preterm and low-birth-weight infants.
Keywords:
Exclusive breastfeeding, Growth, Preterm infant, Low birth weight infant, Kangaroo-mother care
IntroduçãoA prematuridade (nascimento anterior às 37 semanas gestacionais) e baixo peso ao nascer (BPN, peso <2.500g) são causas relevantes da mortalidade neonatal.
1 O risco de óbito neonatal é 16 vezes maior entre recém-nascidos (RN) prematuros em comparação aos nascidos a termo e 25 vezes maior entre aqueles com BPN em relação aos nascidos com peso adequado.
2RN prematuros e com BPN corresponderam a 9,4% e 9,6%, respectivamente, dos nascimentos ocorridos no Brasil entre 2011 e 2018.
2 Este cenário representa um desafio contínuo para os serviços de saúde, especialmente em relação ao crescimento pós-natal. Fatores como imaturidade metabólica e gastrointestinal, maior suscetibilidade a infecções e condições perinatais adversas, como restrição de crescimento intrauterino e complicações respiratórias comprometem o crescimento e os desfechos em saúde em longo prazo.
3,4Além disso, aspectos socioeconômicos desfavoráveis podem agravar ainda mais o déficit de crescimento extrauterino e dificultar sua recuperação.
4Dentre os fatores que contribuem para o crescimento pós-natal, o aleitamento materno exclusivo (AME) é reconhecido por seus benefícios quanto ao ganho de peso, desenvolvimento infantil e controle de infecções.
5 Nesse contexto, o Método Canguru (MC), indicado pela Organização Mundial da Saúde (OMS) como um modelo de assistência perinatal voltado para o cuidado humanizado do RN prematuro e de baixo peso ao nascer (BPN) como alternativa ao cuidado convencional, é considerada uma importante estratégia de promoção do crescimento saudável e da amamentação nesse público.
6Uma revisão sistemática com metanálise, que incluiu 32 ensaios clínicos randomizados realizados em países de baixa, média e alta renda, demonstrou benefícios consistentes do MC no crescimento e na amamentação. Bebês acompanhados no MC apresentaram maior ganho de peso (diferença média [DM] de 4,08 g/dia, intervalo de confiança de 95% [IC95%] 2,30; 5,86), comprimento (DM de 0,21cm/semana, IC95%= 0,03; 0,38) e perímetro cefálico (PC) (DM de 0,18 cm/semana, IC95%= 0,09; 0,27), em comparação aos que receberam cuidado convencional. Além disso, houve maior probabilidade de AME na alta ou aos 28 dias de vida (risco relativo [RR] 1,48; IC95%= 1,44–1,52) entre os bebês acompanhados no MC.
7O acompanhamento longitudinal do crescimento de RN prematuros e com BPN é essencial para compreender o desenvolvimento pós-natal e melhorar desfechos em saúde a longo prazo. Tendo em vista que o crescimento infantil não é linear, a velocidade de crescimento permite identificar variações como períodos de aceleração e estagnação,
8 conferindo uma avaliação mais consistente. Uma coorte de base populacional chinesa com 1.221 prematuros identificou, por exemplo, velocidades de ganho de peso e de comprimento mais rápidas entre o terceiro ao sexto mês de vida.
9O monitoramento do crescimento via MC possibilita a identificação precoce de desvios nutricionais. Contudo, evidências regionais em contextos socioeconômicos vulneráveis não detalham a evolução do crescimento segundo práticas alimentares como o AME.
10 Investigar essa dinâmica pode otimizar estratégias de nutrição e saúde nesse público.
Dessa forma, este artigo teve como objetivo analisar as trajetórias de velocidade de crescimento segundo a prática de AME em bebês prematuros e com BPN acompanhados pelo MC.
MétodosTrata-se de um estudo longitudinal que incluiu RN prematuros e com BPN acompanhados pelo MC em duas maternidades brasileiras localizadas em Fortaleza, Ceará. Estes serviços figuram entre os primeiros centros de referência que participaram ativamente no processo de implantação e implementação do MC no Brasil.
11O MC foi realizado em três etapas, conforme Portaria do Gabinete do Ministro/Ministério da Saúde nº 1.683, de 12 de julho de 2007.
12 A primeira etapa ocorreu na Unidade de Terapia Intensiva Neonatal (UTIN), onde os pais foram estimulados a praticar o contato pele a pele conforme estabilidade clínica do bebê. A segunda etapa, após a alta da UTIN, foi realizada na Unidade de Cuidados Intermediários Neonatal Canguru (UCINCa), onde mãe e bebê deveriam manter a posição canguru (RN em contato pele a pele, somente de fraldas, na posição vertical junto ao peito da mãe) pelo tempo máximo que ambos considerassem prazeroso e suficiente. Na terceira etapa, após a alta hospitalar, os RN seguiram em acompanhamento ambulatorial para monitorar o ganho de peso e orientar a família nos cuidados domiciliares, com número de consultas variando de um a seis por RN.
A coleta de dados iniciou-se na terceira etapa do MC para reduzir perdas de seguimento. Informações das etapas anteriores foram obtidas retrospectivamente de prontuários e documentos dos serviços, enquanto os dados da terceira etapa foram coletados prospectivamente por entrevistas com as mães durante as consultas ambulatoriais. A amostra, coletada entre outubro de 2016 e outubro de 2017, incluiu RN prematuros e BPN que compareceram à primeira consulta da terceira fase, cujas mães aceitaram participar da pesquisa. Foram excluídas crianças com malformações, doenças crônicas ou que não completaram todas as consultas do MC.
O cálculo amostral foi estimado com base em parâmetros da literatura sobre crescimento pós-natal em recém-nascidos prematuros.
9 Considerando diferenças mínimas clinicamente relevantes entre grupos, α = 5% e poder de 80%, os tamanhos amostrais mínimos estimados variaram entre 46 e 68 RN. A amostra final (n = 152) foi suficiente para detectar diferenças entre grupos de AME (sim/não) (Figura 1), sendo que cada maternidade contribuiu com 62 e 90 RN, respectivamente.
A prática de AME na alta do MC foi definida como variável independente, determinada a posteriori em relação às medidas antropométricas repetidas. Foi classificada em sim (RN que permaneceram em exclusividade de leite materno durante as três etapas do MC) e não (RN que interromperam a exclusividade do leite materno antes da alta do MC). Na terceira etapa, em cada consulta, as mães relataram a oferta de leite materno, de outros líquidos como água, chá, fórmulas, leite de vaca e de alimentos. Dados do RN (sexo, peso ao nascer e idade gestacional) e maternos (idade, escolaridade, renda e IMC pré-gestacional) foram coletados na entrevista inicial.
Conforme protocolos padronizados para a coleta de dados antropométricos em serviços de saúde,
13 foram coletadas as medidas peso, comprimento e PC ao nascer, na entrada e na alta das duas primeiras etapas do MC, bem como na entrada e nas consultas agendadas da terceira etapa até a alta. O peso foi aferido em balança pediátrica digital (capacidade de 15 kg, precisão de 10 g), com a criança despida. O comprimento foi medido com antropômetro infantil de madeira (0-100 cm, precisão de 1 mm), e o PC com fita métrica inelástica (precisão de 1 mm).
13A partir dos dados antropométricos, foram calculadas as velocidades de ganho de peso (g/kg/dia), comprimento (cm/dia) e PC (cm/dia), segundo fórmulas descritas a seguir.
14,15 As velocidades foram calculadas entre os seguintes intervalos: nascimento, alta da primeira etapa do MC, alta da segunda etapa do MC, entrada da terceira etapa do MC e consultas subsequentes na terceira etapa até a alta do método.
Velocidade de ganho de peso (g/kg/dia) = [(peso final (g) – peso inicial (g)) / (média de peso (kg)/ número de dias)]. A média de peso (kg) corresponde à média do peso inicial e final em cada intervalo especificado.
Velocidade de ganho de comprimento e de PC (cm/dia) = [(medida final (cm) – medida inicial (cm) / número de dias)].
Consideraram-se as covariáveis de sexo (feminino/masculino), peso ao nascer (<1.500; ≥1.500 gramas) e idade gestacional ao nascer (<32; ≥32 semanas gestacionais) do RN. Quanto às variáveis maternas foram consideradas idade (< 19, 20-34, ≥35 anos), escolaridade (< 9; ≥ 9 anos de estudo), renda familiar (<2; ≥2 salários-mínimos), presença de companheiro (sim/não), procedência (capital e região metropolitana; interior) e excesso de peso pré-gestacional (sim/não, excesso de peso definido como índice de massa corporal ≥25kg/m
2).
Quanto a análise dos dados, as variáveis contínuas foram descritas por média e desvio-padrão (DP), considerando sua distribuição normal verificada pelo teste de Shapiro–Wilk junto a inspeção de histogramas. A distribuição de AME (sim/não) na alta do MC foi comparada segundo contexto de nascimento e materno pelo teste de qui-quadrado. As trajetórias de velocidade de ganho de peso, comprimento e PC segundo AME na alta do MC foram estimadas usando modelos lineares mistos com
splines cúbicas restritas. Esta abordagem é adequada para dados longitudinais desbalanceados, em que o número e o tempo das medições variam entre os indivíduos.
16 Splines cúbicas, compostas por polinômios fragmentados, suavizam a relação linear entre medidas antropométricas e idade, captando a estrutura não linear do crescimento infantil.
17Polinômios fragmentados foram unidos em nós colocados nas idades de 32, 36, 40 e 44, por representarem marcos críticos do crescimento em prematuros. Cada desfecho foi analisado em subconjuntos específicos, conforme critérios de qualidade das medidas. Foram excluídos os RN com variações negativas superiores a -0,5 cm no comprimento e -0,2 cm no PC, considerando a implausibilidade biológica dessas reduções e os limites de erro padrão entre avaliadores.
18 Ao final, foram acompanhadas 152 crianças para peso, 124 para comprimento e 95 para PC (Figura 1).
Inicialmente, os modelos incluíam o desfecho de interesse (velocidade de ganho de peso, comprimento ou PC), a exposição ao AME, sexo da criança, termos lineares e
spline para a idade da criança em semanas e termos de interação de AME e idade. Efeitos aleatórios para o intercepto e o termo linear para idade (inclinação) foram incluídos tendo em conta a correlação intrapessoal de medições na estimativa de variância.
19 Os modelos finais foram ajustados, com base em sua relevância conceitual para o crescimento fetal, para as covariáveis de escolaridade materna, renda familiar, idade materna, presença de companheiro, procedência, excesso de peso pré-gestacional, idade gestacional, peso ao nascer. Foram testados também modelos incluindo a duração total do MC, sem alteração nos resultados. Ao final, o modelo ajustado selecionado foi o que apresentou os menores valores do Critério de Informação de Akaike e do Critério de Informação Bayesiano,
20 sem a inclusão da duração total do MC. Os valores previstos de velocidade de ganho de peso, comprimento e PC e seus IC95% foram estimados semanalmente, considerando o intervalo da idade dos RN, de acordo com AME. Todas as análises foram realizadas no
Stata versão 17.
A pesquisa foi aprovada pelos Comitês de Ética em Pesquisa das duas maternidades participantes (pareceres n° 1882430 e 1.551.528).
ResultadosMais da metade (51,3%) dos RN eram do sexo feminino, com peso médio (±DP) ao nascer de 1743,4 (±43,8) g e idade gestacional média ao nascer de 32,7 (±2,1) semanas gestacionais. O tempo médio de acompanhamento no MC foi de 43,0 (±18,2) dias. Nesse período, os RN contribuíram com 619 medições para peso, 500 para comprimento e 373 para PC, variando de duas a oito medidas por RN. As velocidades médias (DP) foram 8,47 (±10,61) g/kg/dia; 0,13 (±0,14) cm/dia e 0,11 (±0,09) cm/dia para peso, comprimento e PC, respectivamente.
Conforme a Tabela 1, não houve diferenças estatisticamente significativas entre os grupos de RN que se mantiveram em AME até a alta do MC e aqueles que não, segundo características de nascimento e maternas (Tabela 1).
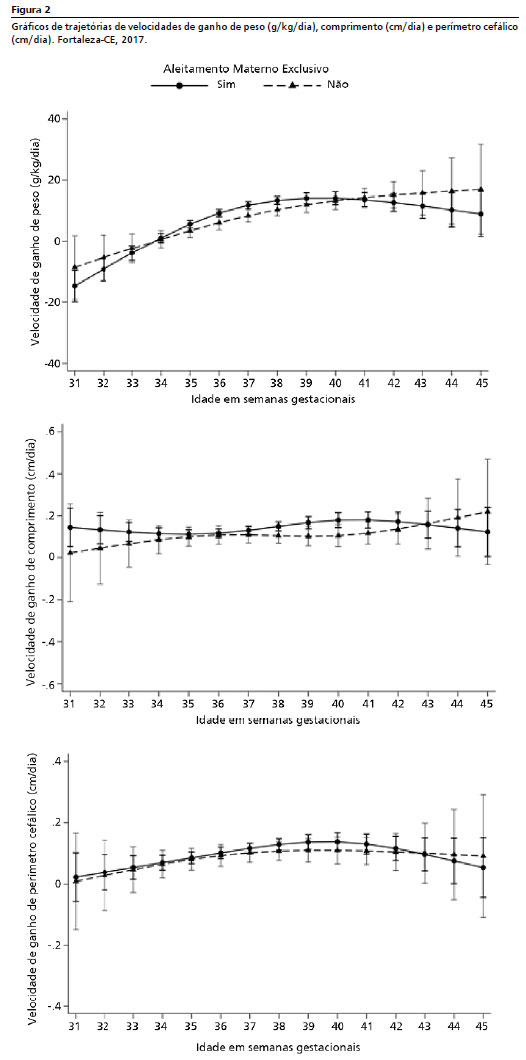
No modelo inicial, maiores médias de velocidade de ganho de peso foram observadas entre 36 e 38 semanas de idade em RN mantidos em AME durante todo MC. No modelo ajustado, a velocidade de ganho de peso foi negativa até as 33 semanas de idade. Padrão semelhante foi observado, com RN em AME apresentando maior média de velocidade de ganho de peso, porém somente às 37 semanas de vida (11,83 g/kg/dia, IC95%= 10,67; 12,99), em relação aos RN não amamentados exclusivamente até a alta do MC (8,42 g/kg/dia, IC95%= 6,38; 10,45) (Tabela 2, Figura 2).


Em relação à velocidade de ganho em comprimento, tanto no modelo não ajustado e ajustado, crianças em AME apresentaram maiores médias entre a 40ª e a 41ª semana de idade. Entre aquelas não amamentadas exclusivamente, o pico de velocidade ocorreu por volta da 46ª semana (Tabela 2, Figura 2). No entanto, não foram identificadas diferenças estatisticamente significativas nas trajetórias de crescimento entre RN em AME e àqueles não amamentados exclusivamente. Quanto à velocidade de crescimento do PC, as maiores médias foram registradas entre a 38ª e a 39ª semana de idade, de forma semelhante nos dois modelos e em ambos os grupos de amamentação. Também não foram observadas diferenças significativas nas trajetórias de crescimento do PC segundo a prática de AME (Tabela 2, Figura 2).
DiscussãoO estudo explorou a influência do AME nas trajetórias de velocidade de ganho de peso, comprimento e PC em RN prematuros e com BPN acompanhados no MC. Os achados evidenciaram que RN amamentados exclusivamente ao longo de todo o MC apresentaram maior média de velocidade de ganho de peso na 37ª semana de vida. Não foram identificadas diferenças nas trajetórias de crescimento em comprimento e PC entre os grupos de amamentação durante o período avaliado.
As recomendações para avaliação do crescimento de RN prematuros estabelecem como metas velocidade de ganho de peso de 15 g/kg/dia, de 1 cm/semana para comprimento e de 0,5-1 cm/semana para PC.
9 No presente estudo, embora as velocidades médias observadas tenham sido inferiores para peso e comprimento, os resultados devem ser interpretados considerando-se as particularidades do crescimento do prematuro e o tempo de acompanhamento do estudo no MC.
Os RN estudados apresentaram perda de peso até a 33ª semana de vida, o que pode ser explicado por fatores fisiológicos e clínicos característicos da prematuridade. Logo após o nascimento, neonatos prematuros são mais suscetíveis a perda de peso acentuada, comparado a neonatos a termo, devido a imaturidade da barreira cutânea, das funções respiratórias, que levam ao aumento da perda insensível de água, e das funções renais.
21 Além disso, a progressão mais lenta da alimentação associada à intercorrências clínicas e à necessidade de exames com jejum, pode gerar balanço energético e proteico negativo e contribuir para a perda de peso nas primeiras semanas de vida.
22Posteriormente, as taxas de crescimento seguem menores para bebês prematuros até aproximadamente três meses de idade corrigida, como identificado em uma coorte de nascimento chinesa com 198 bebês prematuros e a termo pareados.
23 Neste estudo, o AME até a alta do MC foi associado a maior velocidade de ganho de peso às 37 semanas de idade. Embora esse efeito não tenha se mantido nas semanas seguintes, pode indicar o início da recuperação nutricional dos RN, especialmente entre aqueles que receberam suporte adequado por meio do AME.
Apesar das evidências apontarem que prematuros e bebês de baixo peso alimentados com fórmulas crescem mais rapidamente que os amamentados exclusivamente,
24 esse ganho tende a refletir predominantemente o acúmulo de massa gorda, o que, a longo prazo, se associa a piores desfechos metabólicos. Uma metanálise com seis estudos em países de alta renda mostrou que lactentes prematuros alimentados com fórmula apresentaram maior massa gorda ao termo (diferença média de 0,24 kg; IC95%= 0,17–0,31) e maior percentual de gordura na 36ª semana (diferença média de 3,70%; IC95%= 1,81–5,59) em comparação aos amamentados.
25O leite humano parece ser a melhor opção para esses bebês, ao favorecer uma composição corporal mais adequada, com maior deposição de massa magra,
26 proporcionando trajetória de crescimento mais fisiológica em longo prazo. Nessa perspectiva, o chamado "paradoxo da amamentação" tem como hipótese que a ingestão de leite humano, apesar de promover um menor ganho de peso inicial, está associado a benefícios como maior acúmulo de massa magra e melhor desenvolvimento neurocognitivo em prematuros.
27,28Dessa forma, apoiar a manutenção do AME no contexto do MC é uma estratégia central para a promoção do crescimento saudável em neonatos de risco, conforme recomenda a OMS.
29 O MC favorece uma aproximação efetiva da mãe nos cuidados com seu bebê, inclusive no ato de amamentar, deixando-as mais seguras e empoderadas do seu papel como cuidadora do filho, aumentando assim as chances de continuar o aleitamento.
30Neste estudo, não foram observados efeitos do AME sobre o crescimento linear e o PC, possivelmente por se tratar de parâmetros menos sensíveis à intervenções nutricionais no curto prazo, ao contrário do peso.
Entre as limitações, destacam-se o tamanho amostral reduzido, que pode ter limitado o poder para detectar diferenças, e o acompanhamento relativamente curto, que pode ter subestimado os efeitos em desfechos de crescimento mais tardios. A mensuração do AME também pode estar sujeita a viés de informação, e o agrupamento de crianças que interromperam a prática em diferentes momentos pode ter atenuado associações. Embora os dados sejam de 2017, as práticas do MC e os padrões de crescimento neonatal mantêm-se atuais, o que favorece a validade externa dos resultados.
Como pontos fortes, o estudo conseguiu reunir dados das três etapas do MC, o que representa um diferencial, dada a alta frequência de perdas de seguimento e descontinuidade observadas em estudos semelhantes. Ademais, forneceu evidências longitudinais regionais sobre a associação entre AME e ganho de peso em prematuros, particularmente em contextos socioeconômicos vulneráveis.
Em conclusão, o AME foi associado a maior velocidade de ganho de peso às 37 semanas de vida, reforçando sua relevância na promoção do crescimento saudável de RN de risco. Estudos futuros, com maior tempo de seguimento, são necessários para esclarecer seus efeitos em diferentes dimensões do crescimento.
Referências1. Bernardino FBS, Gonçalves TM, Pereira TID, Xavier JS, Freitas BHBM, Gaíva MAM. Tendência da mortalidade neonatal no Brasil de 2007 a 2017. Ciênc Saúde Colet. 2022; 27 (2): 567-78.
2. Paixao ES, Blencowe H, Falcao IR, Ohuma EO, Rocha ADS, Alves FJO,
et al. Risk of mortality for small newborns in Brazil, 2011-2018: A national birth cohort study of 17.6 million records from routine register-based linked data. Lancet Reg Health Am. 2021; 3: 100045.
3. Jańczewska I, Wierzba J, Jańczewska A, Szczurek-Gierczak M, Domżalska-Popadiuk I. Prematurity and Low Birth Weight and Their Impact on Childhood Growth Patterns and the Risk of Long-Term Cardiovascular Sequelae. Children (Basel). 2023; 10 (10): 1599.
4. Ravi K, Young A, Beattie RM, Johnson MJ. Socioeconomic disparities in the postnatal growth of preterm infants: a systematic review. Pediatr Res. 2025; 97 (2): 532-57.
5. Juharji H, Albalawi K, Aldwaighri M, Almalki A, Alshiti H, Kattan W,
et al. Impact of Breastfeeding on Low Birthweight Infants, Weight Disorders in Infants, and Child Development. Cureus. 2022; 14 (12): e32894.
6. Ministério da Saúde (BR). Secretaria de Atenção Primária à Saúde. Departamento de Ações Programáticas Estratégicas. Método canguru: diretrizes do cuidado. 1ª ed. rev. [
Internet]. Brasília (DF): Ministério da Saúde; 2018. [acesso em 2025 Mar 10]. Disponível em:
https://bvsms.saude.gov.br/bvs/publicacoes/metodo_canguru_diretrizes_cuidado_revisada.pdf 7. Sivanandan S, Sankar MJ. Kangaroo mother care for preterm or low birth weight infants: a systematic review and meta-analysis. BMJ Glob Health. 2023; 8 (6): e010728.
8. Greer FR, Olsen IE. How fast should the preterm infant grow? Curr Pediatr Rep. 2013; 1: 240–6.
9. Kang L, Wang H, He C, Wang K, Miao L, Li Q,
et al. Postnatal growth in preterm infants during the first year of life: A population-based cohort study in China. PLoS One. 2019;14 (4): e0213762.
10. Andrade L, Kozhumam AS, Rocha TAH, de Almeida DG, Silva NC, Souza Queiroz RC,
et al. Impact of socioeconomic factors and health determinants on preterm birth in Brazil: a register-based study. BMC Pregnancy Childbirth. 2022; 22 (1): 872.
11. Ministério da Saúde (BR). Secretaria de Atenção à Saúde. Departamento de Ações Programáticas e Estratégicas. Atenção humanizada ao recém-nascido de baixo peso: Método Canguru. 2ª ed. 1. reimpr. Brasília (DF): Ministério da Saúde; 2013. [acesso em 2025 Mar 10]. Disponível em:
http://bvsms.saude.gov.br/bvs/publicacoes/atencao_humanizada_recem_nascido_canguru.pdf 12. Brasil. Portaria n° 1.683/GM, 12 de julho de 2007. Aprova, na forma de anexo, a Norma de orientação para a implantação do Método Canguru. Diário Oficial da União. Brasília (DF): 12 de julho de 2007. [acesso em 2025 Mar 10]. Disponível em:
https://bvsms.saude.gov.br/bvs/saudelegis/gm/2007/prt1683_12_07_2007.html 13. Ministério da Saúde (BR). Secretaria de Atenção à Saúde. Departamento de Atenção Básica. Orientações para a coleta e análise de dados antropométricos em serviços de saúde: Norma técnica do Sistema de Vigilância Alimentar e Nutricional – SISVAN.
Brasília (DF): Ministério da Saúde; 2011. [acesso em 2025 Fev 15]. Disponível em:
http://189.28.128.100/nutricao/docs/geral/orientacoes_coleta_analise_dados_antropometricos.pdf 14. Fenton TR, Chan HT, Madhu A, Griffin IJ, Hoyos A, Ziegler EE,
et al. Preterm Infant Growth Velocity Calculations: A Systematic Review. Pediatrics. 2017; 139 (3): e20162045.
15. Fenton TR, Nasser R, Eliasziw M, Kim JH, Bilan D, Sauve R. Validating the weight gain of preterm infants between the reference growth curve of the fetus and the term infant. BMC Pediatr. 2013; 13: 92.
16. Fausto MA, Carneiro M, Antunes CM de F, Pinto JA, Colosimo EA. O modelo de regressão linear misto para dados longitudinais: uma aplicação na análise de dados antropométricos desbalanceados. Cad Saúde Pública. 2008; 24 (3): 513-24.
17. Howe LD, Tilling K, Matijasevich A, Petherick ES, Santos AC, Fairley L,
et al. Linear spline multilevel models for summarising childhood growth trajectories: A guide to their application using examples from five birth cohorts. Stat Methods Med Res. 2016; 25 (5): 1854-74.
18. World Health Organization (WHO). Training course on child growth assessment. Module B: Measuring a child's length and height. Geneva: WHO; 2008. [acesso em 2025 Fev 15]. Disponível em:
https://iris.who.int/bitstream/handle/10665/43601/9789241595070_H_eng.pdf?sequence=8&isAllowed=y19. Diggle PJ, Heagerty P, Liang KY, Zeger SL. Analysis of longitudinal data. 2
nd ed. Oxford: Oxford University Press; 2002.
20. Burnham KP, Anderson DR. Model selection and multimodel inference: a practical information-theoretic approach. 2
nd ed. New York: Springer; 2002.
21. Valentine GC, Umoren RA, Perez KM. Early inadequate or excessive weight loss: A potential contributor to mortality in premature newborns in resource-scarce settings?. Pediatr Neonatol. 2021; 62 (3): 237-9.
22. Lygerou I, Ilia S, Briassoulis P, Manousaki A, Koropouli M, Hatzidaki E,
et al. The Impact of Estimated Energy and Protein Balances on Extrauterine Growth in Preterm Infants. Nutrients. 2023 Aug 11; 15 (16): 3556.
23. Zhonggui X, Ping Z, Jian K, Feimin S, Zeyuan X. The growth rates and influencing factors of preterm and full-term infants: A birth cohort study. Medicine (Baltimore). 2022; 101 (34): e30262.
24. Lu AS, Harrison CM. Formula feeding results in better growth and weight gain compared to donor breast milk in preterm and low birthweight infants, with a greater risk in necrotising enterocolitis. Arch Dis Child Educ Pract Ed
. 2020; 105 (6): 381-2.
25. Huang P, Zhou J, Yin Y, Jing W, Luo B, Wang J. Effects of breast-feeding compared with formula-feeding on preterm infant body composition: a systematic review and meta-analysis. Br J Nutr. 2016; 116 (1): 132-41.
26. Cerasani J, Ceroni F, De Cosmi V, Mazzocchi A, Morniroli D, Roggero P,
et al. Human Milk Feeding and Preterm Infants' Growth and Body Composition: A Literature Review. Nutrients. 2020; 12 (4): 1155.
27. Giannì ML, Consales A, Morniroli D, Vizzari G, Mosca F. The "Breastfeeding Paradox" as a Guide for the Assessment of Premature Infants Growth: It Is More Than Just Weigh-Ins. Breastfeed Med. 2023; 18 (5): 385-7.
28. Machado DR, Silva MC. The influence of exclusive breastfeeding on preterm newborns and development. Res Soc Dev. 2023; 12 (13): e29121344115.
29. Care of Preterm or Low Birthweight Infants Group. New World Health Organization recommendations for care of preterm or low birth weight infants: health policy. EClinicalMedicine. 2023 Ago; 63: 102155.
30. Alves FN, Azevedo VMGO, Moura MRS, Ferreira DMLM, Araújo CGA, Mendes-Rodrigues C,
et al. Impacto do método canguru sobre o aleitamento materno de recém-nascidos pré-termo no Brasil: uma revisão integrativa. Ciênc saúde coletiva. 2020; 25(11): 4509–20.
AgradecimentosAgradecemos a Fundação Cearense de Apoio ao Desenvolvimento Científico e Tecnológico (FUNCAP) pelo apoio financeiro - Projeto nº FUNCAP 0898/2015. Processo: 88887.100545/2015.
Contribuição dos autoresSalviano AF: concepção, análise e interpretação dos dados, redação do manuscrito.
Azevedo LHB e Maneschy IR: interpretação dos dados e revisão crítica do manuscrito.
Almeida PC e Azevedo DV: concepção e delineamento do estudo, supervisão da análise, interpretação dos dados e revisão crítica do manuscrito.
Todos os autores aprovaram a versão final do artigo e declaram não haver conflito de interesse.
Disponibilidade de DadosTodo o conjunto de dados que dá suporte aos resultados deste estudo foi publicado no próprio artigo.
Recebido em 2 de Julho de 2025
Versão final apresentada em 14 de Setembro de 2025
Aprovado em 16 de Setembro de 2025
Editor Associado: Paola Mosquera